Educoast
Courses Biography Updates Bursaries Applications

Resources

High School TVET College IEB
Learnerships
We'll remind you next time.
Preview of Electrical Technology Digital 2020 Gr12

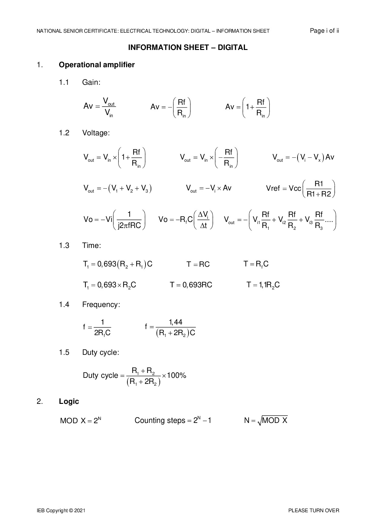
Electrical Technology Digital 2020 Gr12

Electrical Technology Grade 12 10 Pages pdf 197.63 KB 0

Rate Material:

0/5 (0)

This 12 document for Grade Electrical Technology PDF includes 197 pages and is 10. Work through it, mark your answers, and revisit the sections that cost you marks. Title: Electrical Technology Digital 2020 Gr12. Be the first to rate it and help other learners.

Download

Student Discussion (0)

No discussions yet. Start one!